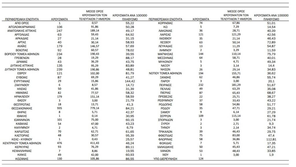
HighlightsΚοζάνηΤοπικά Νέα130 κρούσματα σήμερα Τετάρτη 8/12 στην Κοζάνη- Ο χάρτης των κρουσματων από kouzounews8 Δεκεμβρίου 20210