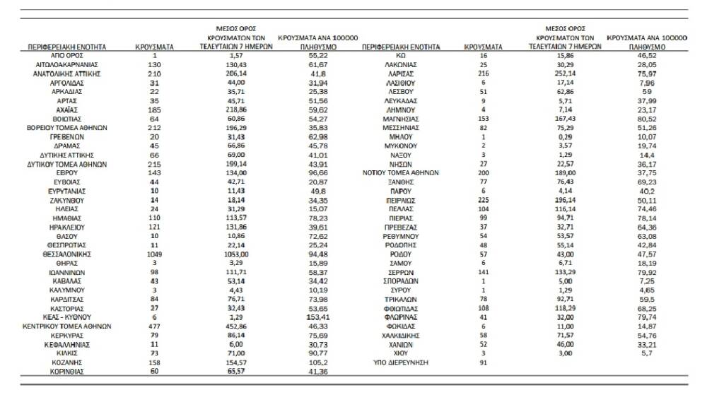
HighlightsΚοζάνηΤοπικά Νέα158 κρούσματα σήμερα Σάββατο 20/11 στην Κοζάνη- Ο χάρτης των κρουσμάτων από kouzounews20 Νοεμβρίου 20210