ΚοζάνηΤοπικά Νέα

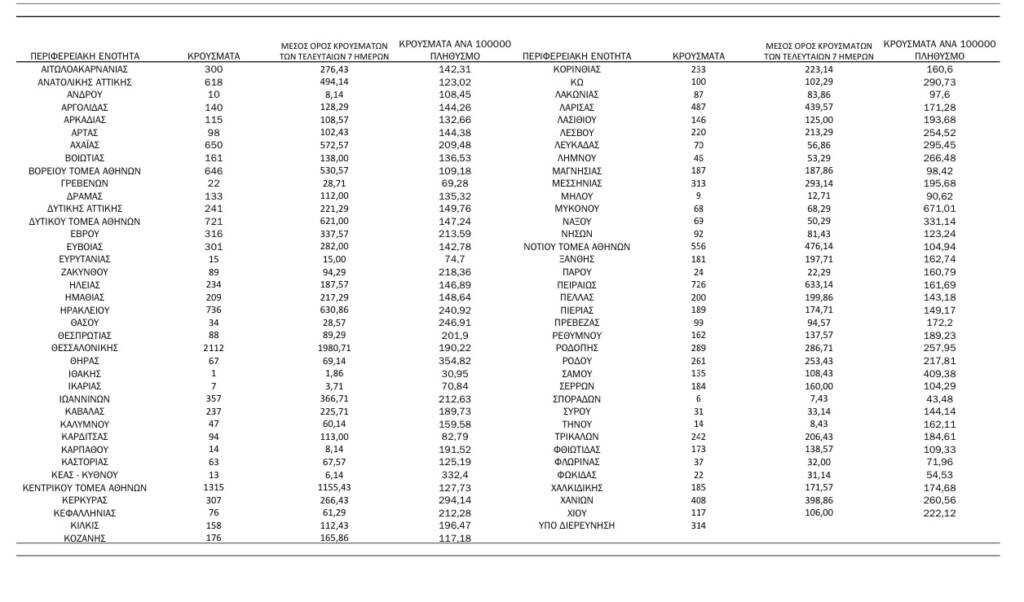
176 νέα κρούσματα στην Π.Ε. Κοζάνης – Ο χάρτης στην υπόλοιπη Ελλάδα σήμερα Παρασκευή 11/2/22

Αφήστε ένα σχόλιο

* Χρησιμοποιώντας αυτή τη φόρμα συμφωνείτε με την διαχείριση των προσωπικών σας δεδομένων από το kouzounews.gr

Το kouzounews.gr χρησιμοποιεί cookies για να βελτιώσει την εμπειρία χρήσης σας. Υποθέτουμε ότι συμφωνείτε με αυτό. Φυσικά αν θέλετε μπορείτε να αρνηθείτε. Αποδοχή Περισσότερα