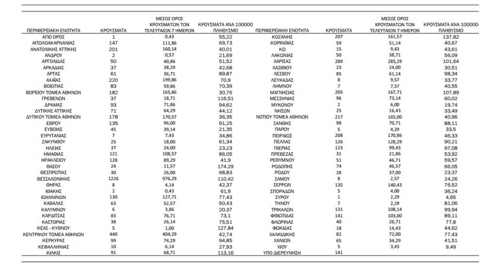
HighlightsΚοζάνηΤοπικά Νέα207 κρούσματα σήμερα Δευτέρα 15/11- Ο χάρτης των κρουσματων από kouzounews15 Νοεμβρίου 20210