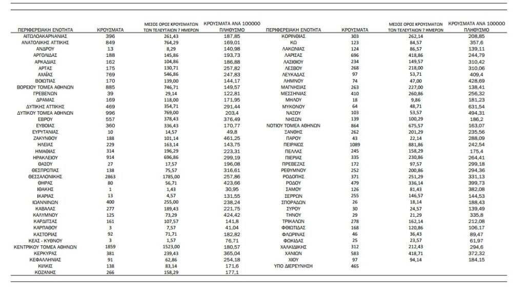
HighlightsΚοζάνηΤοπικά Νέα266 κρούσματα σήμερα Τρίτη 1/2 στην Κοζάνη- Τα κρούσματα στην υπόλοιπη Ελλάδα από kouzounews1 Φεβρουαρίου 20220