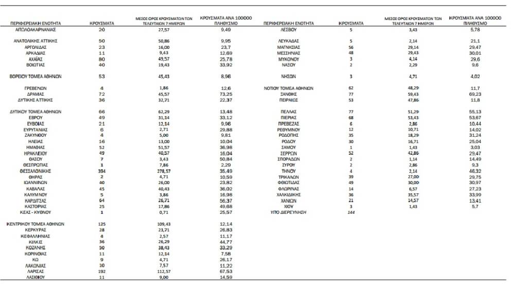
HighlightsΚοζάνηΤοπικά Νέα50 κρούσματα σήμερα Παρασκευή 1/10 στην Κοζάνη- Ο χάρτης των κρουσμάτων από kouzounews1 Οκτωβρίου 20210